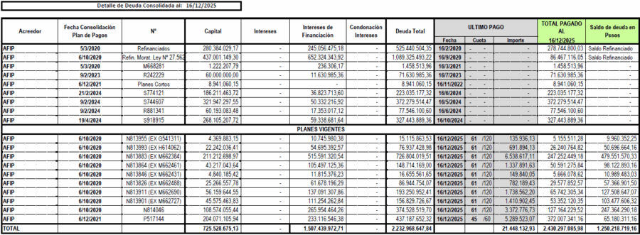
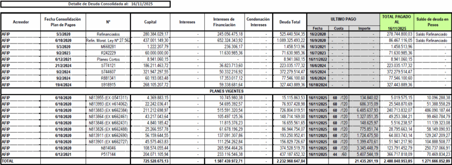
Atento a la moratoria para “Mi Pymes” por deudas hasta el 30 de noviembre de 2019, reglamentada por la ley 27.541 del Gobierno Nacional, Servicoop accedió a dos planes de pago: por un lado, uno de 120 cuotas que incluye las obligaciones de IVA y Contribuciones; y un segundo, de 60 cuotas, correspondiente al Sistema de Control de Retenciones (SICORE). Servicoop logró acceder a dicha moratoria por haber hecho frente al pago corriente de AFIP hasta la fecha requerida, condición indispensable para acceder a dicha moratoria. En Octubre de 2020 se refinanciaron $ 437.001.149,3 de capital de los planes de pagos vigentes con AFIP en el marco de la Ley N° 27.562, Ampliación de la moratoria para paliar los efectos de la pandemia generada por el COVID – 19. Con plazos de 120 cuotas y a tasas más convenientes.
